

If you’re working in an organisation that relies on assets to deliver reliable services , it’s likely you or someone in your team will need to carry out condition grading on those assets. This post will go through what condition grading is, what it’s significance is, what it is typically used for and how you can grade your assets.

Where did the 1 - 5 condition grading scale come from?
The 1 to 5 scale is a an internationally accepted rating system of categorising assets based on condition. The International Infrastructure Management Manual, 2006 is often referenced in relation to the 1-5 scale, where 1 is ‘Excellent’ and 5 is ‘Very Poor’. Some organisations choose to use a 1 to 10 scale, and some organisations use the scale an internationally accepted rating system , i.e. 5 is ‘Excellent’ and 1 is ‘Failed’. Ultimately if your organisation is clear about the definitions and criteria of each grading level and what you are using the data for, the grading should be fit for purpose. The scales can always be mapped to a smaller or larger scale as long as the data has been consistently applied and matches the new scale. So don’t worry if your organisation is not using the 1-5 rating scale. If your organisation is using this scale, then you’re in good company.
What is the point of condition grading?
Applying a condition grading to an asset is about establishing the performance of said asset in order to determine where it is on its life cycle i.e. the physical state . The resulting grade informs the user about how well or poorly that asset is performing and can indicate (in a relative sense) whether work may be required to improve the performance or useful life of the asset. In asset management, condition grading typically is used for the asset’s remaining life eg a pipe is in condition grade 4 and therefore it has 15 years left before it needs a major replacement.The use of condition grading is now extended also to long term financial planning and asset valuations.For example, if the organisation has 8km of pipes in condition 4 and 5, then it provides a simple and accurate basis of prioritising a capital plan over 5 years. Similarly, the condition grading can be used to perform a valuation based on life consumed by simply using the remaining life over a useful life as per the International Financial Reporting Standard 116.A long-term financial plan and valuation is typically updated every 4 years, whilst the capital and maintenance plan would need a review every 12 months.

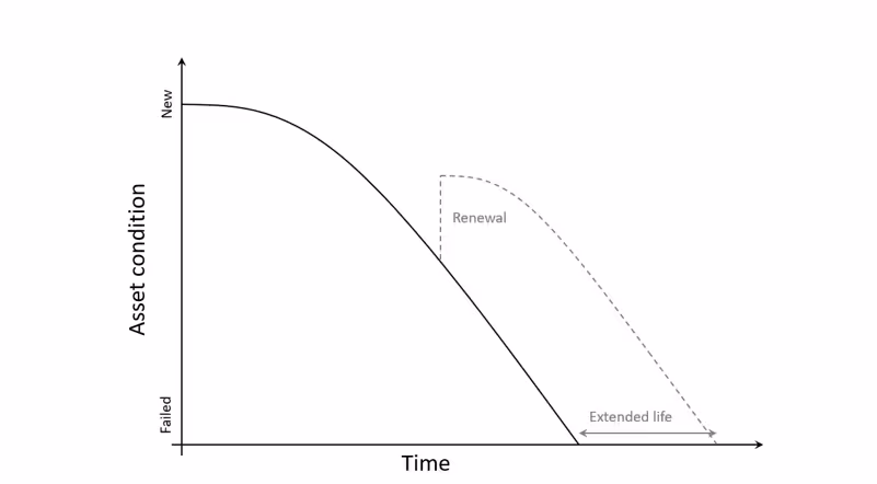
Figure 1 Indicative 'degradation curve' for a given asset.The aim of the game is to understand where an asset is on its life curve based on the current condition/performance of the asset. Regular maintenance and timely renewals can avoid total failure as well as potentially extending the life of an asset.
What is the point of condition grading?
Aged based assessments
Due to the cost-prohibitive nature of undertaking condition grading on all assets, often the age of installation is used to indicate the asset’s performance. This is called the age-based method. This is when the degradation of an asset is assumed over a period of time, with the asset ‘age’ being the determining factor in performance. This method may be easier to adopt, when there may be installation dates readily available for most of the assets. Because undertaking inspection-based assessments on all assets can be cost-prohibitive, so often a representative subset of data is extrapolated out to give the condition of the overall asset class. However, this is unlikely to give you the actual condition of the assets, as assets rarely degrade uniformly based on age alone.
Inspection based assessments
Condition assessments can also be carried out based on inspection and/or testing of the asset to determine where the particular asset is on its expectedlife curve.In the case of pipes, there are industry-specific documents and standards that provide guidance on how to carry out the condition assessment. The condition relates to the type of defects identified, the severity of these defects and even the number/frequency of them. This method accounts for the specific characteristics/defects of the asset to determine the condition. It provides data that is more accurate and, whilst expensive, is now more the norm given accountability, financial planning regulation, cost of litigation, project management and most importantly, evidence-based capital planning.
Other methods
It is possible to adopt an approach that is a hybrid of the above two, or even use quantitative methods such as degradation modelling. Regardless of which method you use to condition grade your assets, it’s helpful to understand what the data is going to be used for so that you can adopt the method that is going to maximise accuracy and minimise risk.

.jpg)

